Flowchart Untuk Program Kalkulator

Flowchart adalah penggambaran secara grafik dari langkah langkah dan urutan urutan prosedur dari suatu program.
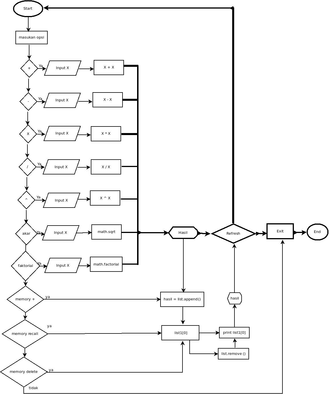
Flowchart untuk program kalkulator. Langsung saja di bawah ini adalah algoritma dan flowchart kalkulator sederahana. Untuk algoritma dan flowchartnya kawan kawan pasti bisa membuatnya d ini source code nya. Flowchart dan program kalkulator sederhana c berikut adalah flow chart dari program kalkulator sederhana. Dan untuk menginput angka bisa dilakukan dengan menekan tombol angka pada kalkulator atau mengetikkan langsung dari keyboard.
Pseudocode program mesin kasir lanjutan. Dalam program kalkulator berikut fungsi yang akan dibuat adalah penjumlahan pengurangan perkalian pembagian akar pangkat persen faktorial sin cos dan tan. Langsung saja ini program untuk mencetak deret bilangan prima. Maka akan muncul tampilan seperti pada gambar di bawah ini.
Flowchart program mesin kasir. Flowchart kalkulator sederhana kali ini saya akan membuat sebuah tutorial membuat flowchart kalkulator sederhana menggunakan program raptor. Sedangkan flowchart dalam program adalah suatu bagan dengan simbol simbol tertentu yang menggambarkan urutan proses secara detail dan menjelaskan hubungan antara suatu proses atau instruksi dengan proses lainnya dalam suatu program widia 1983 4. Dan beri nama file raptor anda dengan cara save file.
Stdio h adalah library pada bahasa c yang digunakan untuk operasi input output stdio standar input dan output. Kirimkan ini lewat email blogthis. Lalu dari flowhcart diatas diimplementasikan ke program menjadi include stdio h. Flowchart menolong analis dan programmer untuk memecahkan masalah kedalam segmen segmen yang lebih kecil dan menolong dalam menganalisis alternatif alternatif lain dalam pengoperasian.
Sekarang gue mau ngepost tentang bahasa c. Langkah pertama buka program raptor. Flowchart program kalkulator diposting oleh praktikum ti kelompok 09 di 00 55.